一、OCL乙类互补对称电路
图Z0404(a)所示电路由两个对称的工作在乙类状态的射极输出器组合而成。
T1(NPN型)和T2(PNP型)是两个特性一致的互补晶体管;电路采用双电源供电,负载直接接到T1,T2 的发射极上。因电路没有输出电容和变压器,故称为无输出电容电路,简称OCL电路。
设ui 为正弦波,当ui 处于正半周时,T1导通,T2截止,输出电流iL = iC1流过RL,形成输出正弦波的正半周。当ui 处于负半周时,T1截止,T2导通,输出电流iL = - iC2流过RL,其方向与 iC1 相反,形成输出正弦波的负半周。因此,在信号的一个周期内,输出电流基本上是正弦波电流。由此可见,该电路实现了在静态时管子无电流通过,而有信号时,T1、T2轮流导通,组成所谓推挽电路。由于电路结构和两管特性对称,工作时两管互相补充,故称"互补对称"电路。
OCL类互补放大电路的输出功率,直流电源供给的功率,效率及管耗的计算如下。
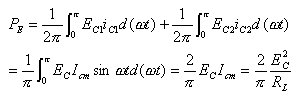
1.输出功率
在EC和 RL为定值时,乙类互补电路的最大输出功率为
2.直流电源供给的功率
由于 Icm1 = Icm1 = Icm 所以在输出最大功率时,两个电源供给的总直流功率为:
即![]()
3.效率
放大电路在最大输出功率时的效率为![]()
此结果是在输入信号足够大和忽略管予的饱和压降UCES情况下得来的,实际效率比这个数值要低些,即使如此,也比甲类工作的效率高得多。
4.管耗
互补对称放大电路在输出功率最大的情况下,两管的管耗为
二、OCL甲乙类互补对称电路
图Z0404所示电路的缺点是当输入信号ui的瞬时值小于T1,T2 的死区电压时,三极管不导通,只有当ui 的瞬时值过越Uγ以后,管子才导通。因此两管轮流工作衔接不好,出现了一段死区,产生了所谓的"交越失真",如图Z0405示。
为了避免交越失真,通常在每管的发射结上加上一定的正向偏压,使两管在静态时都处于微导通状态,这样,当有信号时,就可使iC和uBE基本上成线性关系,消除了交越失真,如图Z0406示。此时,电路便工作在甲乙类状态。应当指出,为了提高工作效率,在设置偏压时,应尽可能接近乙类状态。
图Z0407为OCL甲乙类放大电路。T1为前置级,二极管D接在输出级的基极回路内,静态时的D两端有一定的正向压降,给T2、T3提供一个适当的正向偏压,产生相应的偏流,从而避免了交越失真。OCL功放电路的缺点是必须采用双电源供电。
网友评论