多级放大电路的电压放大倍数是各级电压放大倍数的乘积,即

其模和相角可分别表示为
Au =Au1·Au2·…·Aun
φ=φ1+φ2+…+φn
以上两式说明,多级放大电路的幅频特性等于各级的幅频特性的乘积,而相频特性等于各级的相频特性之和。用分贝表示其幅频特性为
20lgAu = 20lgAu1 + 20lgAu2 + … + 20lgAun
例如两级放大电路的频率特性如图Z0237所示。它是由相同频率特性的两个单级放大电路构成的两级放大电路。对两级放大电路幅频特性而言,对应于单级下降3dB的下限频率fL1(fL2)和上限频率fH1(fH2)处,已比中频值下降6dB。由此可见,两级放大电路下降3dB的通频带,比组成它的单级电路的通频带窄了。两级放大电路的上限频率fH <fH1,而下限频率fL > fL1。
这说明采用多级放大电路来提高总增益是用牺牲通频带来换取的。
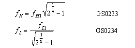
分析证明 ,多级放大电路上、下限频率fH 、fL与单级放大电路上、下限频率的关系分别为
式中n表示电路的级数,当n = 2时,fH = 0.64fH1,fL=fL1/0. 64,如果单级放大电路的上、下限频率分别为fH1=1MHz,fL1=100Hz,则两级放大电路上、下限频率分别为fH=640kHz、fL=156.25Hz。显然上限频率降低了,而下限频率被提高,通频带变窄。
上两式表明,放大电路的级数越多则fH越低,fL越高,通频带越窄。
网友评论