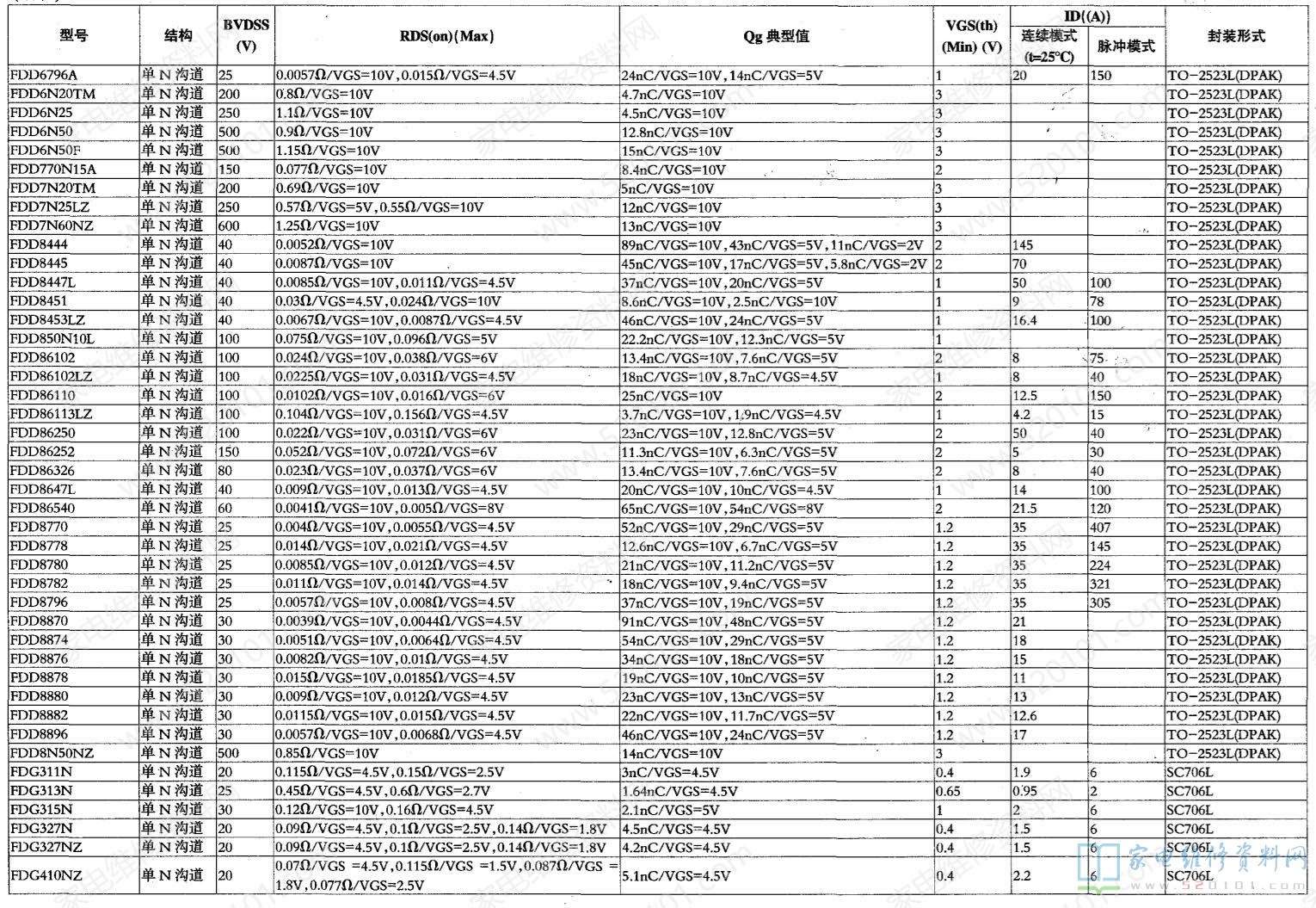
说阴:BVDSS表示D、S极间的最高耐压;实际工作电压不得高于此电压;RDS(on)表示在G、S极间加上一定电压时的D、S极间导通电阻,Max表示最大值;Qg表示在GS极间加上一定电压时的栅极(G)充电电量,单位是库仑(C);VGS(th)表示MOSFET管导通时G、S极间所加的电压,Min表示最小值;D表示流过D极的额定电流,t= 25°C表示环境温度为25°C。
说阴:BVDSS表示D、S极间的最高耐压;实际工作电压不得高于此电压;RDS(on)表示在G、S极间加上一定电压时的D、S极间导通电阻,Max表示最大值;Qg表示在GS极间加上一定电压时的栅极(G)充电电量,单位是库仑(C);VGS(th)表示MOSFET管导通时G、S极间所加的电压,Min表示最小值;D表示流过D极的额定电流,t= 25°C表示环境温度为25°C。
网友评论