LC谐振回路广泛地用于超外差收音机的选频电路之中,如输入回路、变频电路、
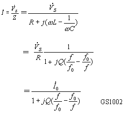
中频电路等。故在分析超外差收音机的工作原理之前,我们先复习一下LC 谐振回路的性能及特点。图Z1003为一LC串联谐振电路,其中R表示线圈L的损耗电阻。该电路的交流阻抗为
Z=R+j(
f0=
该电路谐振时的特点是,回路的阻抗最小且Z0=R;信号电压一定时,回路的电流最大且I0=
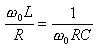
Q=
Q叫回路的品质因数。下面我们重点讨论LC串联电路的幅频特性、通频带和选择性。
1. 回路电流的幅频特性

由图Z1003知,该电路的电流
为方便起见,通常用电流的相对比值(称归一化)来表示串联回路电流的幅频特性:
a=
GS1003利用上式可画出图Z1004的幅频特性曲线(即谐振曲线)。从曲线看出:Q值愈大,曲线愈尖锐,回路的选择性愈好。
2.回路的通频带
在谐振频率附近,f+f0≈2f

上式代入式GS1003可得

满足a≥
因
由此可见: Q值越低,通频带越宽,Q值越高,通频带越窄。
3. 回路的选择性
回路的选择性通常用谐振曲线的矩形系数Kr来表示,如图Z1004所示,Kr定义为a下降到0.1时的频宽B0.1与a下降到0.7时频宽B0.7的比值,即
R、L、C串联回路的矩形系数为:

理想矩形系数Kr=1,而LC串联回路谐振曲线矩形系数较大,因此选择性较差。
网友评论