一、 功率开关
晶闸管(SCR)于1956年问世,接着以它为核心的派生器件投入市场,而这些派生器件比SCR具有更高的额定电压和电流,以及更好的开关特性。但是它们均属半控型器件, 所以辅助电路多、效率低、工作频率低。 进入20世纪80年代,由于电力电子技术和微电子技术的应用相结合,而向市场推出了高频化全控功率集成器件。如功率MOS管、绝缘门极晶体管IGBT(或IGT)、静电感应晶体管(SIT)、场控晶闸管(MCT)等。由于这些器件不需另设辅助开关去强迫关断,故称为全控型电子器件。它们具有较高的效率和较高的工作频率,从而使开关电源整机体积变小而重量变轻,达到提高功率密度的目的。 在新一代全控型电力电子器件中,功率MOS管和静电感应晶体管(SIT)属单极型器件,它们只有一种载流子。而IGBT(或IGT)、MCT及功率集成电路(PIC)或智能功率模块(1PM)、智能开关等,为混合型器件。它们是双极型晶体管与MOS管混合,或是晶闸管与MOS器件混合。上述器件除有自关断性能外,还有如下特点:
(1)在结构上由无数单元小管并联集成;
(2)均为高频器件,工作频率从几千赫兹至几兆赫兹。有的频率已达10MHz以上;
(3)应用性能更完善,除了有开关功能之外,有些器件还有放大、PWM调制、逻辑运算等功能。目前,高频开关电源采用的功率器件通常有:功率MOSFET、IGBT、功率MOSFET与 IGBT混合管及功率集成器件。
1、功率MOSFET
场效应管分为结型场效应管和绝缘栅型场效应管,功率场效应晶体管都是绝缘栅型场效应管。绝缘栅型场效应管是由金属氧化物、半导体组成的场效应晶体管,简称MOSFET (Metal Oxide Semiconductor Field Effect Transistor),这是一种电压控制的单极型器件。功率MOSFET(VMOSFET,有时也简称VMOS)作为开关器件,其常态都是阻断状态,也就是说都是增强型的MOSFET。VMOSFET分为N沟道和P沟道两种,其中,N沟道VMOSFET的导通电流从漏极D流向源极S,而P沟道VMOSFET的导通电流从源极S流向漏极D,它们的电气图形符号如图3-2-1所示。

图3-2-1中,反并联的二极管表示MOSFET结构中的寄生二极管或集成的可续流的二极管。
从MOSFET的结构和工作原理可以知道,MOSFET存在固有的寄生反并联二极管。所以,有时为了保护MOSFET,在较高容量VMOSFET中,又集成了电流容量更大、耐压更高、恢复更快的反并联二极管。
VMOSFET分为V型结构(VVMOSFET)和D型结构(VDMOSFET)。VVMOSFET栅电容小、开关速度快、沟道电阻小,但耐压不高,适用于低耐压、大电流应用。VDMOSFET采用两次扩展,精确控制沟道长度,除具有VVMOSFET的优点外,耐压也高,适合于高耐压应用。 功率MOSFET的特点 ,
(1)它具有很大的输入电阻,故作功率开关管应用时,驱动电流很小,功率增益高,是一种电压控制器件。又由于开启电压高,进行关断时无需加闭锁电压。
(2)功率MOSFET导通电阻温度系数为正值,若多个功率MOS管并联时,则不需另设均流电阻。例如,并联组合管中某单元管芯电流增加时,其工作温度随之升高而使电阻增大,进而限制了电流的增长,所以具有自动均流的能力。
(3)在高温运行时,不存在温度失控的现象。因为温度变化时,对功率MOS管极间电 容影响极小。其允许工作温度高达200˚C。
(4)普通功率晶体管在高压、大电流条件下进行切换时,易发生二次击穿。所谓二次击 穿是指器件在一次击穿后电流进一步增加,并以高速向低阻区域移动。而功率MOS管无二 次击穿问题。
(5)在大电流工作过程中,因温度升高而使导通电阻增大许多倍,故导通功耗很大。
(6)在进行引线焊接时,操作者应佩带接地的专用腕带,且工作台与焊接工具均应接地。
2、绝缘门极晶体管IGBT
绝缘栅双极晶体管(1nsulated Gate Bipolar Transistor,IGBT)是MOSFET与GTR的复合器件,因此,它既具有MOSFET的工作速度快、输入阻抗高、驱动电路简单、热温度性 好的优点,又包含了GTR的载流量大、阻断电压高等多项优点,是取代GTR的理想开关器件。从1986年至今,尤其是近几年来IGBT发展很快,己被广泛地应用于各种逆变器中。现在已经被推广应用的第三代IGBT通态压降更低、开关速度更快。IGBT的等效电路和图形符号如图3-2-2所示。 IGBT基本上是在VMOSFET的漏极下又加了一层P+区,因而多了一个PN结,从而使其等效电路变成了图3-2-2(a)的形式,这很自然地成了一个MOSFET与 一个GTR单管的复合管,结果就是一个控制极为绝缘栅极的双极型晶体管,如图3-2-2(b)所 示。根据双极型晶体管和MOSFET的工作原理,不难理解IGBT的工作过程,这里不再详细叙述。
图3-2-2 IGBT的等效电路和图形符号

IGBT管的综合特点如下:
(1)IGBT管为混合器件,驱动功率容量小,也是一种压控型器件。
(2)导通压降小,允许电流密度大。
(3)当关断时会出现电流拖尾现象,所以关断时间长,使工作频率受到限制。
二、高频整流管
在工频(50周)整流电路中,对二极管的开关速度没有要求。而在高频变化中就必须采用恢复时间短的二极管。根据制造工艺和恢复特性,高频整流电路分为:快恢复二极管、 超快恢复二极管和肖特基二极管。
1、 二极管的性能参数
(1)最高允许结温TjM 结温是指整个PN结的平均温度。最高允许结温是指PN结不损坏能承受的最高平均温度,结温通常允许在-40~+125℃范围内。当一般工业用大功率二极管工作结温达-40℃以下时,硅芯片可能受到损坏。 (2)额定正向平均电流/F 额定正向平均电流是指在指定壳温、规定散热条件下二极管流过工频正弦半波的平均电 流。此电流下正向压降引起的损耗使得结温升高,此温度不得超过允许结温。 由二极管定额方法可以看出,正向电流是按发热条件定额的,因此在选用二极管时,应 按有效值相同条件选取二极管定额,有效值定额为对应额定正向平均电流的1.57倍。 (3)浪涌电流 浪涌电流是指连续几个工频周波的过电流,一般是用额定正向平均电流的倍数和相应的浪涌时间(工频周波数)来规定浪涌电流。 (4)反向重复峰值电压URR 反向重复峰值电压是二极管工作时所能施加的反向最高峰值电压,通常是反向雪崩击穿电压UB的2/3。在使用时,通常按电路中二极管可能承受的最高峰值电压的两倍选取二极管定额。 (5)反向恢复时间trr 反向恢复时间是从正向电流过零到反向电流下降到其峰值10%时的时间间隔。它与反向电流上升率有关,但在实际电路中还与结温和关断前最大正向电流有关。
2、快恢复二极管(FRD)
迅速由导通状态过渡到关断状态的PN结整流管称为快恢复二极管(FRD,Fast Recovery Diode),其特点是反向恢复时间短,一般小于5μs,也称为开关二极管。用于高频整流,斩波和逆变。电流由1安到数百安,电压由数十伏到数千伏。 目前有PN型和PIN型两种结构的快速恢复整流二极管。在同等容量下PIN型结构具有开通压降低,反向快速、恢复性能好的优点。一般地,二极管的耐压越高,电流越大,恢复时间就越长,导通压降就越高。快恢复二极管用于开关频率不太高(20~50kHz)的整流模块的输出整流。 常用的小电流快恢复二极管:FRl01一FRl07(1A,50~1000V)、FR301一FR307(3A,50~1000V)等,可用于辅助开关电源的输出整流。 国产ZK快恢复二极管系列是否是参数范围有50~1000A,100—2000V。[Page]
3、超快恢复二极管(UFRD) 用外延法生产的二极管比用扩散法生产的二极管具有更快的开关速度,它们都用掺金或铂来控制恢复时间trr的大小,使恢复时间trr可小于50ns,称为超快恢复二极管(UFRD,Ultra-Fast Recovery Diode),又叫高性能快速恢复二极管具有软恢复过程,可减小因反向恢复造成的du/dt,、di/dt和电压尖峰,降低EMI。UFRD一般用于开关频率在50kHz以上的整流模块的输出整流。
4、肖特基二极管(Schottky Barrier Diode,SBD)
肖特基二极管由半导体硅材料(N型)与金属进行面接触而构成。半导体N型硅材料是采用现代工艺进行了掺杂,以使金属与N型硅材料大面积均匀接触。所以肖特基二极管在整流过程中无少数载流子参加,既消除了电荷存储现象,又能瞬间完成反向恢复过程。与普通硅二极管比较,具有下列性能特点。
(1)它不是利用PN结的单方向导电特性,而是利用金属与半导体接触过程的势垒电势的整流作用而导电,只产生多数载流子而无少数载流子,故反向恢复时间远小于相同定额的二极管,一般只有数十纳秒,其反向恢复时间可缩短到10ns以内,而且与反向di/dt无关。因此可在更高频率下工作。
(2)具有较低的正向压降(0.3~0.8V),典型值为0.55V,所以导通损耗小。因此广泛应用于低电压大电流电源中。
(3)肖特基二极管电流定额从1安到数百安,并且很容易通过并联而扩大容量,即不需加均流电阻而可直接并联,亦可两只配对并联后封装成组件。
(4)反向漏电流较大和工作电压较低.需要指出,肖特基二极管的最高反向工作电压一般不超过100V,仅适合作低压、大电流整流用。当Uo≥30V时,须用耐压100V以上的超快恢复二极管来代替肖特基二极管。
表3-2-1 4种二极管典型产品的性能比较

三、开关电源中的其他器件
1、可调精密基准TL431
1)电路结构
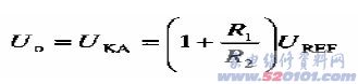
TL431是2.50~36V可调式精密并联稳压器,其性能优良、价格低廉,能构成电压比较器、外部误差放大器等。 TL431它属于三端可调式器件,利用两只外部电阻可设定2.50~36V范围内的任何基准电压值。TL431的电压温度系数α=30×10-6/℃。其动态阻抗低,典型值为0.2Ω。阴极工作电压UKA的允许范围为2.50—36V,阴极工作电流IKA=1~100mA。TL431大多采用DIP-8或TO-92封装形式,引脚排列分别如图3-2-3(a)、(b)所示。图中,A为阳极,使用时需接地。K为阴极,需经限流电阻接正电源。UREF是输出电压Uo的设定端,外接电阻分压器。NC为空脚。TL431的等效电路如图3-2-3(c)所示,

主要包括四部分: ① 误差放大器A,其同相输入端接从电阻分压器上得到的取样电压,反相输入端则接内部2.50V基准电压Uref。 ② 内部2.50V(准确值应为2.495V)基准电压源Uref。 ③ NPN型晶体管VT,它在电路中起到调节负载电流的作用。 ④保护二极管VD,可防止因K-A间电源极性接反而损坏芯片。TL431的电路图形符号与基本接线如图2-18所示。它相当于一只可调式齐纳稳压管,输出电压由外部精密电阻Rl和R2来决定,其表达式如下:

2)稳压原理
在图3-2-4中,R3是IKA的限流电阻。TL431的稳压原理分析如下:当由于某种原因致使U0↑时,取样电压UREF也随之升高,使UREF>Uref比较器输出高电平,令VT导通,Uo↓,实际上是VT的分流加大,进入K极的电流加大,使在R3上的压降加大,使U0下降。反之,Uo↓→UREF↓→UREF

3) 作误差放大器原理
TL431作为外部误差放大器,与线性光耦可构成隔离式光耦反馈电路,如图3-2-5所示。其工作原理是当输出电压Uo发生波动时,如U0↑时,取样电压UREF也随之升高,使UREF>Uref比较器输出高电平,使VT导通电流加大,进入K极的Ik电流加大,光耦中二极管电流也随之加大,发光增强,流经光耦三极管电流Ic也随着加大,这样就通过光耦去改变了控制端电流Ic的大小,调节开关电源的输出占空比,使Uo不变,达到稳压目的。由上分析可见,在与光耦联合运用时,TL431实际上是电压控制的电流放大器。

2、线性光耦
光耦是以光为媒介来传输电信号的器件。通常把发光器(红外线发光二极管LED)与受光器(光敏晶体管)封装在同一管壳内。当输入端加电信号时发光器发出光线,受光器接受光线之后就产生光电流,从输出端流出,从而实现了“电—光—电”转换。普通光耦合器只能传输数字(开关)信号,‘不适合传输模拟信号。线性光耦合器是一种新型光电隔离器件,它能够传输连续变化的模拟电压或模拟电流信号,使其应用领域大为拓宽。
线性光耦与普通光耦的重要区别反映在电流传输比CTR上。CTR是光耦的重要参数,通常用直流电流传输比来表示。当输出电压保持恒定时,它等于直流输出电流Ic与直流输入电流Ik的百分比。CTR表达式如下: CTR=(Ic/Ik)×100%
采用一只光敏晶体管的光耦合器,CTR的范围大多为20%~300% 。如电视机中用的光耦HS817的CTR=175%~260%;光耦PS2561A的CTR=60%~100%。在选用线性光耦时,CTR值要能够在一定范围内做线性调整。CTR的允许范围为 50%~200%。这是因为当CTR<50%时,光耦中的LED就需要较大的工作电流Ik>5.0mA),才能正常控制开关电源的占空比,这会增大光耦的功耗。若CTR>200%,在启动电路或者当负载发生突变时,有可能将开关电源误触发,影响正常输出。
3、熔断电阻器
熔断电阻器,简称熔断电阻。它兼有电阻器和熔断器的双重功能,在正常工作时它相当于一只小电阻。当电路发生故障,导致电流增大并超过其熔断电流时,就迅速熔断,对电路和元器件起到过电流保护作用。目前,彩色电视机中己广泛使用熔断电阻,作为低压电源的保险装置,国外熔断电阻的符号如图3-2-6所示。

熔断电阻的功率一般为0125~3W,阻值为零点几欧姆至几十欧姆,最高可达几千欧姆。熔断电流从几十毫安到几安培,熔断时间为几秒至几十秒。国产金属膜熔断电阻有RJ90系列。RFl0、RFll系列则是专为彩电配套且具有阻燃特性的熔断电阻,其技术指标详见表3-2-2。熔断电阻大多属于一次性产品,熔断后需更换同种规格的产品,但目前也有供多次使用的熔断电阻。

熔断电阻损坏后必须用相同规格的产品进行更换。熔断电阻等效于一只低阻值电阻和保险管的串联电路。假如手头无合适的熔断电阻,作为应急之策,也可采用与之阻值及功率完全相同的碳膜电阻,再串联一只相同容量的熔丝管进行代换。当流过碳膜电阻的电流过大时,碳膜就因过热而脱落,形成开路,同样能起到保护作用。
4、自恢复熔丝
自恢复熔丝(Resettable Fuse)的英文缩写为RF,为与熔断电阻器相区别,本书用RV表示。它是20世纪90年代问世的一种新型过电流保护器件。传统的熔丝属于一次性过电流保护器,使用很不方便。美国硅谷的瑞侃(Raychem)公司最近研制成功由聚合物(polymer)掺加导体而制成的自恢复熔丝,圆满地解决了上述难题。它具有体积小、种类规格齐全、开关特性好、能自行恢复、反复使用、不需维修等优点。其中,RXE系列为圆片形,RUE系列属方形,miniSMD为小型化表面安装元件,SRP系列为片状。
自恢复熔丝具有开关特性,内部由高分子晶状聚合物和导电链构成。由于聚合物能将导电链紧密地束缚在晶状结构上,因此常态下的电阻非常低,仅为零点几欧左右。当工作电流通过自恢复熔丝时所产生的热量很小,不会改变聚合物内部的晶状结构。当发生短路故障时,电流急剧增大,导电链产生的热量使聚合物从晶状胶 体变成非晶状胶体,原本被束缚的导电链便自行分离断裂,元件的电阻值就迅速增加几个数量级,呈开路状态,立即将电流切断,起到保护作用。而一旦过电流故障被排除掉,元件很快又恢复成低阻态。正是这种“(通态)⇄超高阻(断态)”的可持续转换,才使之能反复使用而无须更换。 在业余条件下,可用万用表来检测自恢复熔丝的好坏。[Page]
具体方法如下:
①测量室温下的电阻值。一般讲,自恢复熔丝的容量(IH)愈大,电阻值就愈小。一般为零点几欧姆。
②把自恢复熔丝与电流表串联后,接在直流稳压电源的输出端。要求稳压电源的最大输出电流IoM必须大于IH,且留有足够的余量。首先将稳压输出Uo调至零伏,然后逐渐升高Uo,可观察到电流表读数Io不断增加。Io>IH,电流值就突然减小。由此证明自恢复熔丝已进入高阻态。关断电源后只需放置一段时间,又自动恢复成低阻态。
此外,检查其正向温度特性及自恢复能力时,还可用加热法来代替通电法。首先将电吹风、电烙铁等热源移近自恢复熔丝,使之不断升温。利用万用表的电阻挡可观察到电阻值不断增大。然后移开热源,经过几秒钟至几十秒钟后(具体时间视自恢复熔丝的型号规格和过热程度而定),应恢复成低阻值。但需注意,不要用火焰烘烤被测自恢复熔丝,这样很容易损坏器件。此外,禁止将电烙铁直接接触器件,以免因过热而影响自恢复熔丝的性能。
5、瞬态电压抑制器
瞬态电压抑制器亦称瞬变电压抑制二极管,其英文缩写为TVS(Transient Voltage Suppressor),是一种新型过电压保护器件。由于它的响应速度极快、钳位电压稳定、体积小、价格低,因此可作为各种仪器仪表、自控装置和家用电器中的过电压保护器,还可用来保护单片开关电源集成电路、MOS功率器件以及其他对电压敏感的半导体器件。 瞬态电压抑制器是一种硅PN结器件,其外形与塑封硅整流二极管相似,如图3-2-7a所示。可承受的浪涌电流分别可达50A、80A、200A。其钳位电压0.7V〜3kV。

TVS的符号与稳压管相同,如图3-2-7b所示,伏安特性如图12-19c所示。图中,UB、IT分别为反向击穿电压(即钳位电压)、测试电流。UR为导通前加在器件上的最大额定电压。有关系式:UR=0.8UB。 瞬态电压抑制器在承受瞬态高能量电压(例如浪涌电压、雷电干扰、尖峰电压)时,能迅速反向击穿,由高阻态变成低阻态,并把干扰脉冲钳位于规定值,从而保证电子设备或元器件不受损坏。钳位时间定义为从0V达到反向击穿电压最小值所需要的时间。TVS的钳位时间极短,仅1ns,所能承受的瞬态脉冲峰值电流却高达几十至几百安培。其性能要优于压敏电阻器(VSR),且参数的一致性好。
TVS器件分单向瞬态电压抑制器、双向瞬态电压抑制器两种类型。国内外产品有TVP、SE、5KP、P6KE、BZY、BZT等系列。双向瞬态电压抑制器的典型产品有P6KE20、P6KE250等, P6KE250它的反向击穿电压是250V,额定电压是200V。这类器件能同时抑制正向、负向两种极性的干扰信号,适用于交流电路中。
网友评论